구분 제목 구분 제목
관측연구 활동성 은하핵의 물리적 특성 연구 관측연구 블레이자를 이용한 우주 거리 측정 연구
관측연구 마이크로퀘이사의 물리적 특성 연구 관측연구 무거운 별의 생성과 사멸 과정 연구
시스템개발 초소형 3채널 수신기 시스템개발 150/230GHz 수신기 개발
시스템개발 광대역 43GHz 수신기 개발 시스템개발 E-KVN 상관기 개발
시스템개발 위상안정시스템   

블레이자를 이용한 우주 거리 측정 연구

우주의 거리를 측정하는 기준천체인 표준촛불은 우주에 대한 인류의 이해를 확장하는데 큰 역할을 하였다. 코페르니쿠스(1532년)나 케플러(1609)에 의해 태양계의 규모와 운동학에 대한 이해가 넓어지면서 우주를 보는 3차원적인 시각이 발달하였다. 1838년 베셀(Bessel)에 의해 고안된 별의 삼각시차 방법은 우리은하 내 별들의 거리를 정확히 측정하여 우리은하의 규모를 밝혀내게 되었고, 여류천문학자 리비트(Leavitt)에 의해 세페이드 변광성의 주기-광도 관계가 1912년에 밝혀지면서 우리은하 밖의 은하들에 대한 이해가 가능하게 되었다. 비로소 1920년대 허블(Hubble)은 표준촛불인 세페이드 변광성을 이용하여 외부은하의 존재와 우주의 팽창을 밝혀 낼 수 있게 되었다. 이러한 표준촛불은 폭발 당시 고유밝기가 매우 잘 알려진 Ia형 초신성(Type Ia supernovae)의 관측 결과를 통해 우주는 암흑물질(Dark Energy)로 인해 가속 팽창한다는 사실을 밝히며 2011년 노벨물리학상을 수여한 펄무터(Saul Perlmutter), 슈미트(Brian Schmidt), 리스(Adam Riess)에 의해 그 중요성이 다시 한 번 크게 조명되고 있다. 지금까지 여러 표준촛불들이 개발되었지만, 현재까지는 제Ia형 초신성이 가장 멀리 그리고 정확한 표준촛불이라고 할 수 있다. 그러나 지금까지 발견된 가장 먼 Ia형 초신성의 적색이동(z)이 z=1.914 (거리로 100억 광년 정도), 이는 거리가 140억 광년인 우리 우주를 이해하는데 제한적인 것이 사실이다.

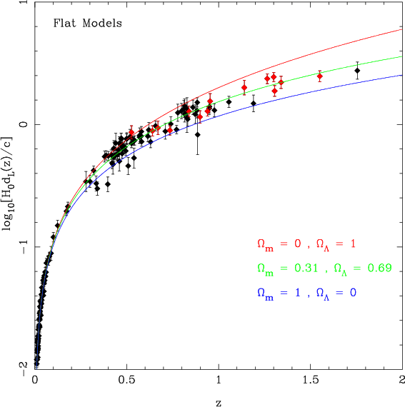
초신성을 이용한 거리측정 결과
Ia형 초신성을 이용한 거리측정 결과(Choudhury, T. R. & Padmanabhan, T. 2005)

초대질량블랙홀을 품은 고밀도 천체 중 블레이자는 우주에서 가장 밝은 광원으로서 물질방출이 지구를 정조준하고 있어 그 밝기가 증폭된다. 최근 블레이자를 활용하여 우주에서 가장 먼 거리를 정확히 측정할 수 있는 표준촛불 검증 연구가 중요해지고 있다. 기존 표준촛불의 거리한계는 적색이동범위 2.5 이내로 제한되었는데, 블레이자는 이러한 한계를 극복할 수 있는 가능성을 제시한다. 즉 블레이자를 이용한 표준촛불이 검증되면, 그 거리적 제한을 적색이동범위 2.5에서 6으로 확장하게 된다. 따라서 우주론적 거리 측정, 허블상수의 독립적인 측정 등의 중요 연구의 핵심 요소이다.

블레이자의 격변 현상을 이용한 새로운 표준촛불 모델 검증과 개발

고밀도 천체 중 Ia형 초신성보다 더 밝은 천체인 활동성 은하핵은 중심의 초대질량블랙홀과 강착원반으로부터 수직방향으로 물질을 내뿜는 제트에서 강한 복사에너지를 방출한다. 활동성 은하핵 중 분출방향이 지구로 향하여 그 밝기가 증폭되는 블레이자는 아주 먼 거리에서도 검출이 가능하다. 지금까지 발견된 가장 먼 블레이자는 적색이동 z=7.5, 거리로 130억 광년 정도에 위치한다. 이와 같은 블레이자를 표준촛불로 활용하려는 노력이 있었으나 모두 실패하였다. 주요 원인은 블레이자의 제트 물질은 상대론적인 속도로 분출되기 때문에 상대론적 시간지연이나 길이축소를 경험한다. 또한 블레이자는 그 밝기가 빠르게 변하며 모든 전자기파 영역에서 폭발현상을 보이기도 한다. 이 폭발현상은 제트 내부의 충격파가 내외부의 물질압력균형지점을 지날 때 발생하는 것으로 알려져 있다. 블레이자의 제트 물질들이 지구방향으로 상대론적 속도로 분출될 때 그 밝기는 증폭되는데 이 증폭효과는 도플러지수(Doppler factor)로 정량화된다. 즉, 그 밝기 증폭효과는 분출속도가 얼마나 빛의 속도에 가까운 지, 그리고 분출방향이 얼마나 지구를 향하고 있는지에 의해서 결정되는 것이다. 사실 상대론적 효과에 의한 도플러지수를 결정하는 것은 매우 어려운데, 특히 정확한 우주론적 가정이 필요하기 때문에 더욱 그러하다.

이런 블레이자를 이용한 거리측정의 핵심은 블레이자 제트의 밝기온도(brightness temperature), 즉 에너지 밀도의 척도를 인과관계(causality)를 이용하여 측정하고, 여러 대의 전파망원경으로 이루어진 관측망인 초장기간섭계(very long baseline interferometry, VLBI)를 이용하여 밝기온도를 측정하는 것이다. 블레이자의 변광특성을 이용하면 빛이 변광 주기 동안 이동한 거리를 광원의 크기로 가정하는 인과관계를 이용하여 그 블레이자 제트의 크기를 측정할 수 있다

표준촛불 개념도
표준촛불 개념도

고분해능 관측을 할 수 있는 초장기선 간섭계를 이용하여 천체의 각 크기(angular size)를 정확하게 측정하고, 변광 주기를 이용하여 광원의 실제 크기(linear size)를 측정하면 광원까지 거리를 측정할 수 있다. 하지만, 블레이자 제트의 상대론적 효과로 인해 변광 주기 또한 상대론적으로 지연효과를 겪게 되고 그 크기도 실제보다 작게 측정될 수 있다. 이는 다시 변광 밝기 온도가 초장기간섭계로 측정된 밝기 온도보다 높게 측정되게 한다.

이 문제를 해결하기 위한 연구방법으로 블레이자 제트의 밝기온도 제한조건인 에너지등분배 밝기온도(equipartition brightness temperature)를 이용하는 것이다. 즉, 천체의 입자에너지와 자기장 에너지가 등분배 조건을 만족할 때 천체의 고유밝기온도가 절대온도 500억 도를 넘지 않는다는 물리적 이론이다. 따라서 천체가 에너지등분배 조건을 만족시킬 때 천체의 겉보기 밝기온도를 측정하면 천체의 밝기온도를 증폭시키는 도플러지수를 측정할 수 있다. 이 방법을 활용하면 천체의 거리를 상대론적 효과와 무관하게 정확히 측정할 수 있게 한다.

블레이자는 그 변광이 매우 심하며 큰 폭발을 겪는데, 이 폭발의 정점 또는 폭발 직후에 천체의 밝기온도가 에너지등분배 밝기온도 제한조건에 도달한다고 가정할 수 있다. 최근 이 가정을 검증하기 위하여 폭발 정점 또는 폭발 직후 관측된 블레이자 관측 자료를 바탕으로 거리를 그 거리를 계산하였고, 그 결과가 Ia형 초신성의 그것과 매우 근사하다는 것이 확인되었다. 즉, 표준촛불로서 블레이자를 사용하는 올바른 방법이 발견된 것이며, 블레이자의 거리를 측정하여 우주론 모델과 비교함으로써 새로운 표준촛불을 검증 개발할 수 있다.